专栏
问答
标签
题库
指对运算
指数运算,对数运算
# 实变函数
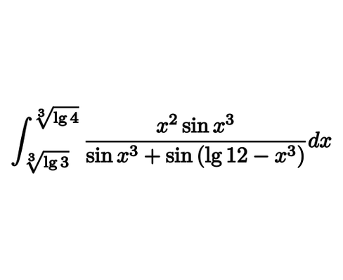
棘手的定积分
By
Campanulata
1k
6
1
尝试解出这个定积分吧~
# 积分
# 对称性
# 指对运算
# (反)三角函数
# 微积分
# 代数几何
跳舞机器人
By
慕容玖
1k
6
1
一个被设定好程序的机器人会在哪里跳舞呢?
# 不等式
# 平面几何
# 算法
# 数列求和
# 指对运算
# 维度 271
分形维度(维度系列3)
By
慕容玖
1k
12
1
根据分形生成的过程计算分形的维度.
# 分形
# 方程
# 指对运算
# 维度 271
海岸线的维度(维度系列2)
By
慕容玖
1k
19
1
海岸线的维度是多少?
# 分形
# 方程
# 指对运算
# 维度 1
你真的了解维度吗?(维度系列1)
By
慕容玖
1k
12
2
物体维度,缩小比例,副本个数,之间存在什么关系呢?
# 分形
# 指对运算